Официальное опубликование правовых актов
ОФИЦИАЛЬНОЕ ОПУБЛИКОВАНИЕ
Постановление Правительства Мурманской области от 25.11.2016 № 587-ПП
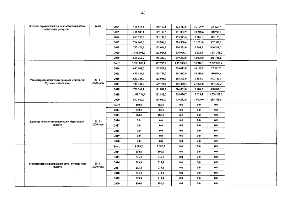
"О внесении изменений в государственную программу Мурманской области "Охрана окружающей среды и воспроизводство природных ресурсов"
Номер опубликования: 5100201611300005
Дата опубликования: 30.11.2016
Страница №42 из 59:
Увеличить