Официальное опубликование правовых актов
ОФИЦИАЛЬНОЕ ОПУБЛИКОВАНИЕ
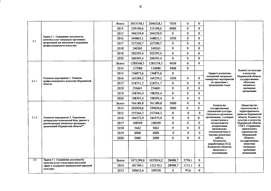
Постановление Правительства Мурманской области от 04.08.2016 № 383-ПП
"О внесении изменений в государственную программу Мурманской области "Развитие культуры и сохранение культурного наследия региона"
Номер опубликования: 5100201608080006
Дата опубликования: 08.08.2016
Страница №10 из 18:
Увеличить