Официальное опубликование правовых актов
ОФИЦИАЛЬНОЕ ОПУБЛИКОВАНИЕ
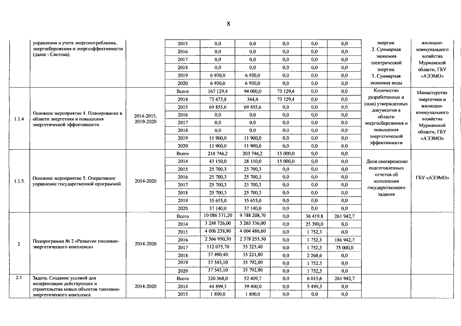
Постановление Правительства Мурманской области от 02.06.2016 № 263-ПП
"О внесении изменений в государственную программу Мурманской области "Энергоэффективность и развитие энергетики"
Номер опубликования: 5100201606060003
Дата опубликования: 06.06.2016
Страница №9 из 12:
Увеличить