Официальное опубликование правовых актов
ОФИЦИАЛЬНОЕ ОПУБЛИКОВАНИЕ
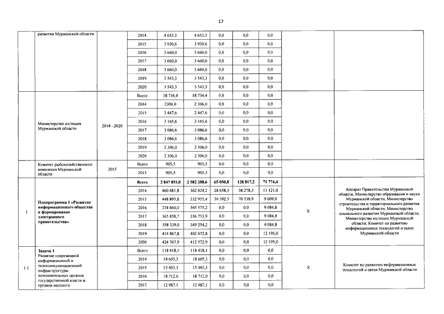
Постановление Правительства Мурманской области от 14.10.2015 № 450-ПП
"О внесении изменений в государственную программу Мурманской области "Информационное общество"
Номер опубликования: 5100201510160006
Дата опубликования: 16.10.2015
Страница №18 из 54:
Увеличить