Официальное опубликование правовых актов
ОФИЦИАЛЬНОЕ ОПУБЛИКОВАНИЕ
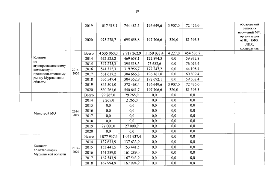
Постановление Правительства Мурманской области от 14.10.2015 № 448-ПП
"О внесении изменений в государственную программу Мурманской области "Развитие сельского хозяйства и регулирование рынков сельскохозяйственной продукции, сырья и продовольствия"
Номер опубликования: 5100201510160002
Дата опубликования: 16.10.2015
Страница №20 из 48:
Увеличить