Официальное опубликование правовых актов
ОФИЦИАЛЬНОЕ ОПУБЛИКОВАНИЕ
Закон Мурманской области от 03.07.2015 № 1891-01-ЗМО
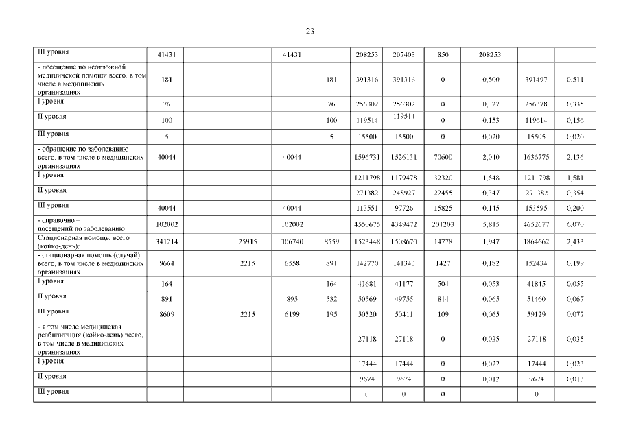
"О внесении изменений в Закон Мурманской области "Об утверждении Территориальной программы государственных гарантий бесплатного оказания гражданам медицинской помощи в Мурманской области на 2015 год и на плановый период 2016 и 2017 годов"
Номер опубликования: 5100201507060006
Дата опубликования: 06.07.2015
Страница №23 из 44:
Увеличить