Официальное опубликование правовых актов
ОФИЦИАЛЬНОЕ ОПУБЛИКОВАНИЕ
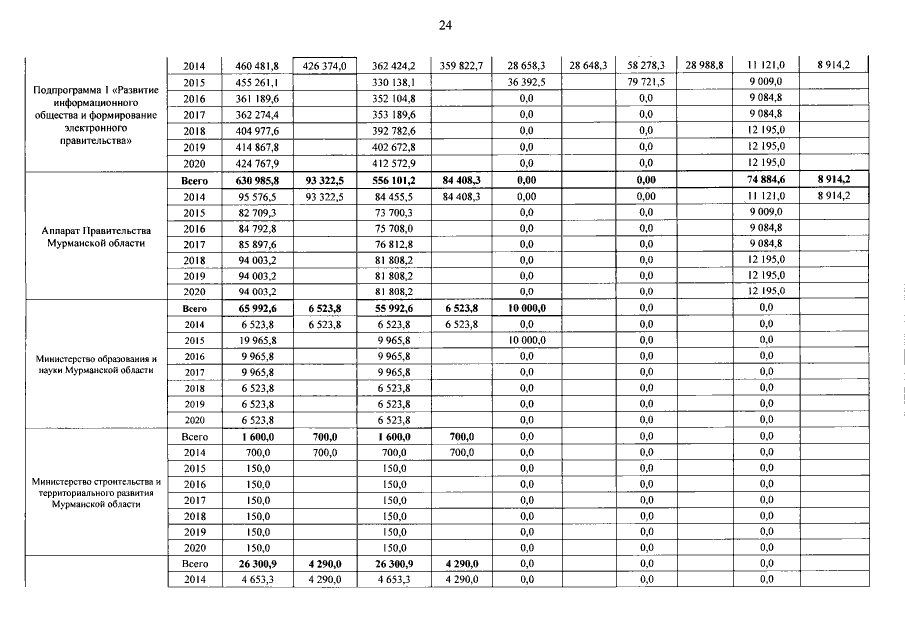
Постановление Правительства Мурманской области от 26.06.2015 № 272-ПП
"О внесении изменений в государственную программу Мурманской области "Информационное общество"
Номер опубликования: 5100201506300002
Дата опубликования: 30.06.2015
Страница №25 из 38:
Увеличить