Постановление Правительства Мурманской области от 28.05.2015 № 211-ПП
"О внесении изменений в государственную программу Мурманской области "Развитие транспортной системы"
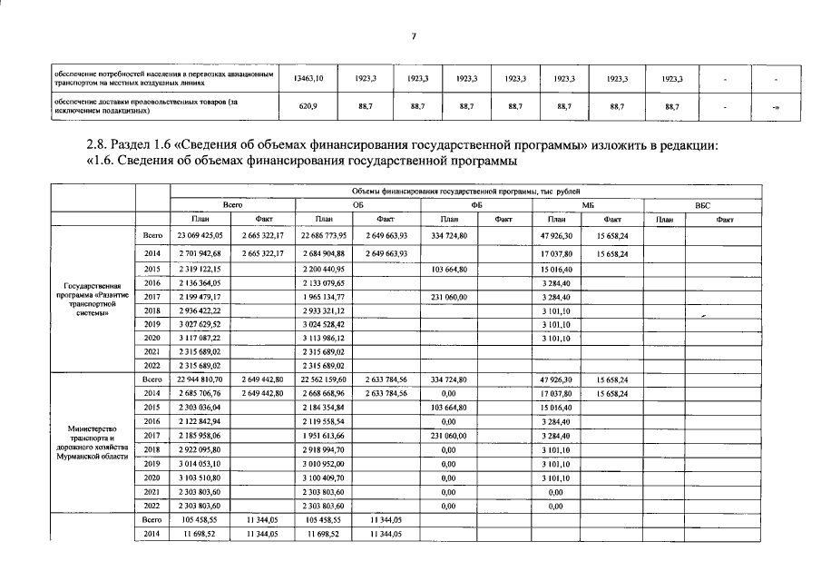
"О внесении изменений в государственную программу Мурманской области "Развитие транспортной системы"
Номер опубликования: 5100201506020008
Дата опубликования:
02.06.2015
