Официальное опубликование правовых актов
ОФИЦИАЛЬНОЕ ОПУБЛИКОВАНИЕ
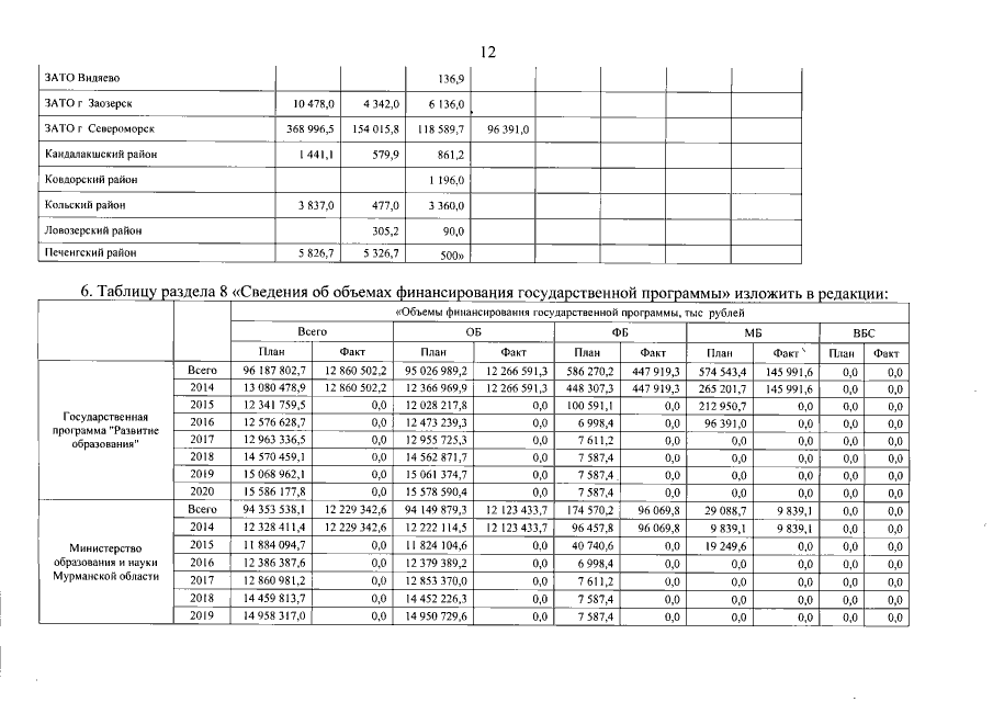
Постановление Правительства Мурманской области от 28.05.2015 № 210-ПП
"О внесении изменений в государственную программу Мурманской области "Развитие образования"
Номер опубликования: 5100201506020001
Дата опубликования: 02.06.2015
Страница №13 из 58:
Увеличить