Официальное опубликование правовых актов
ОФИЦИАЛЬНОЕ ОПУБЛИКОВАНИЕ
Постановление Правительства Мурманской области от 28.04.2015 № 168-ПП
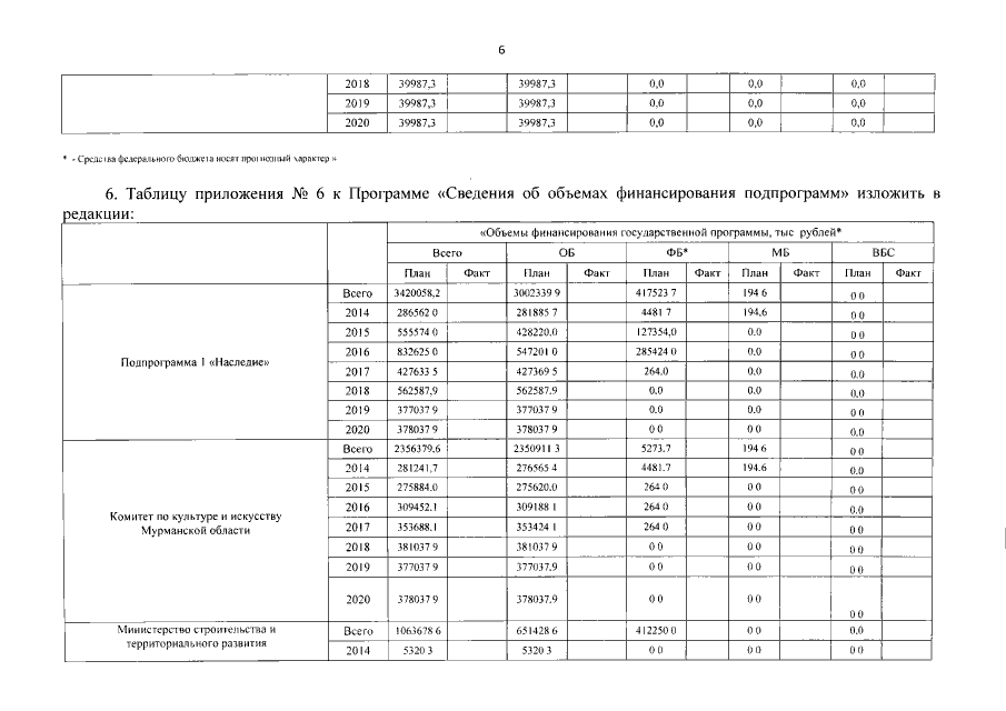
"О внесении изменений в государственную программу Мурманской области "Развитие культуры и сохранение культурного наследия региона"
Номер опубликования: 5100201505050001
Дата опубликования: 05.05.2015
Страница №7 из 18:
Увеличить