Официальное опубликование правовых актов
ОФИЦИАЛЬНОЕ ОПУБЛИКОВАНИЕ
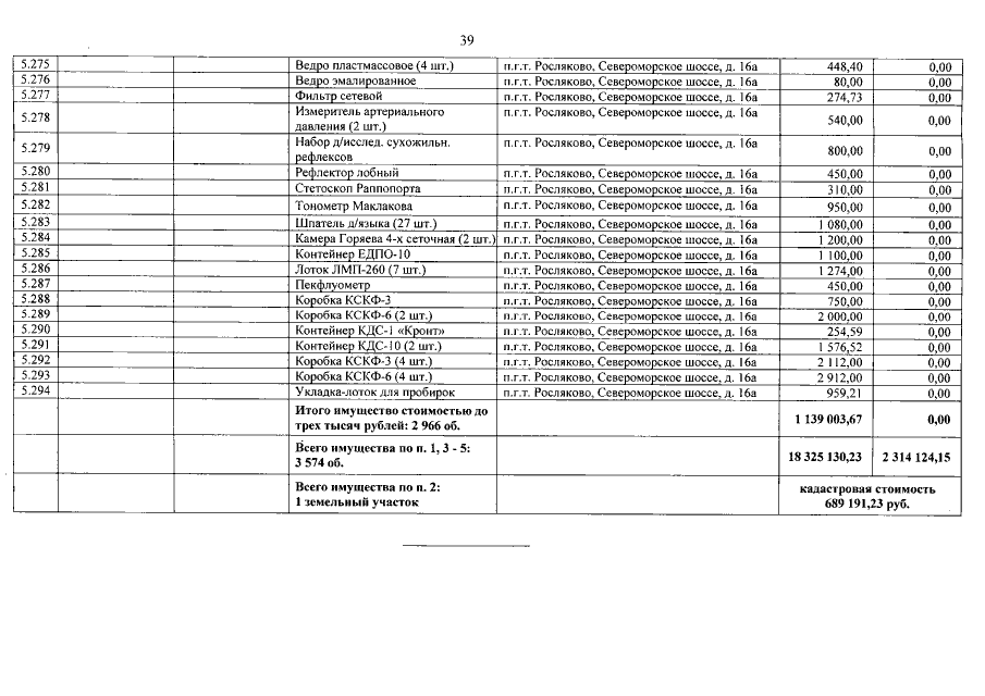
Постановление Правительства Мурманской области от 06.04.2015 № 127-ПП
"О передаче государственного имущества Мурманской области в собственность муниципального образования город Мурманск"
Номер опубликования: 5100201504080005
Дата опубликования: 08.04.2015
Страница №41 из 41:
Увеличить