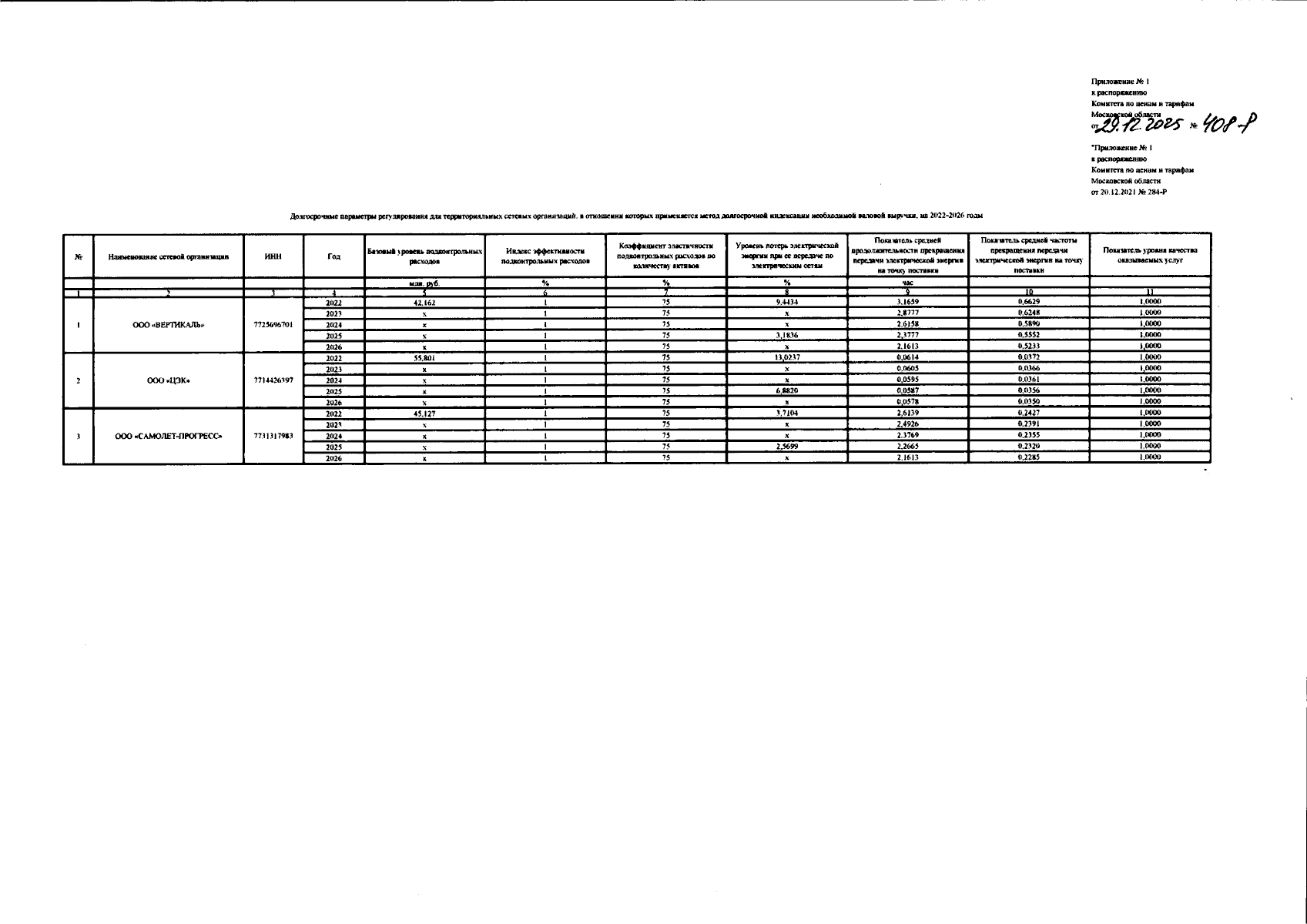
Распоряжение Комитета по ценам и тарифам Московской области от 29.12.2025 № 408-Р
"О внесении изменений в некоторые распоряжения Комитета по ценам и тарифам Московской области"
(Зарегистрирован 30.12.2025 № 32-1457/2025)
"О внесении изменений в некоторые распоряжения Комитета по ценам и тарифам Московской области"
(Зарегистрирован 30.12.2025 № 32-1457/2025)
Номер опубликования: 5001202512310006
Дата опубликования:
31.12.2025
