Официальное опубликование правовых актов
ОФИЦИАЛЬНОЕ ОПУБЛИКОВАНИЕ
Распоряжение Министерства экологии и природопользования Московской области от 25.11.2025 № 1467-РМ
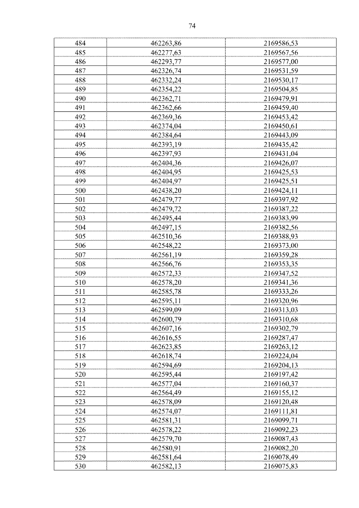
"О внесении изменений в распоряжение и приложения к распоряжению Министерства экологии и природопользования Московской области от 18.07.2022 № 719-РМ "Об определении местоположения береговых линий (границ водного объекта) ручья Душилец в Одинцовском городском округе, городском округе Власиха Московской области и установлении границ водоохранной зоны, прибрежной полосы ручья Душилец в Одинцовском городском округе Московской области"
(Зарегистрирован 25.11.2025 № 15-1155/2025)
Номер опубликования: 5001202511280005
Дата опубликования: 28.11.2025
Страница №77 из 103:
Увеличить