Распоряжение Главного управления культурного наследия Московской области от 12.11.2025 № 06РВ-657
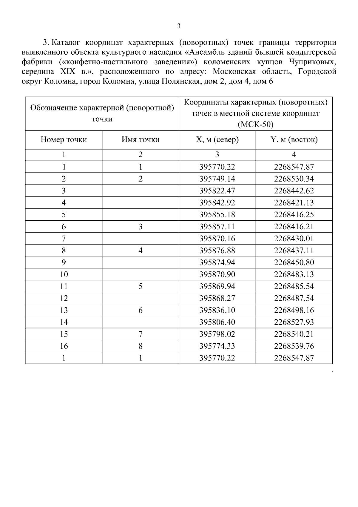
"Об утверждении границы территории и режима использования территории выявленного объекта культурного наследия "Ансамбль зданий бывшей кондитерской фабрики ("конфетно-пастильного заведения") коломенских купцов Чуприковых, середина ХIХ в.", расположенного по адресу: Московская область, Городской округ Коломна, город Коломна, улица Полянская, ДОМ 2, дом 4, дом 6"
(Зарегистрирован 12.11.2025 № 26-1104/2025)
"Об утверждении границы территории и режима использования территории выявленного объекта культурного наследия "Ансамбль зданий бывшей кондитерской фабрики ("конфетно-пастильного заведения") коломенских купцов Чуприковых, середина ХIХ в.", расположенного по адресу: Московская область, Городской округ Коломна, город Коломна, улица Полянская, ДОМ 2, дом 4, дом 6"
(Зарегистрирован 12.11.2025 № 26-1104/2025)
Номер опубликования: 5001202511140005
Дата опубликования:
14.11.2025
