Официальное опубликование правовых актов
ОФИЦИАЛЬНОЕ ОПУБЛИКОВАНИЕ
Распоряжение Министерства экологии и природопользования Московской области от 03.10.2025 № 1223-РМ
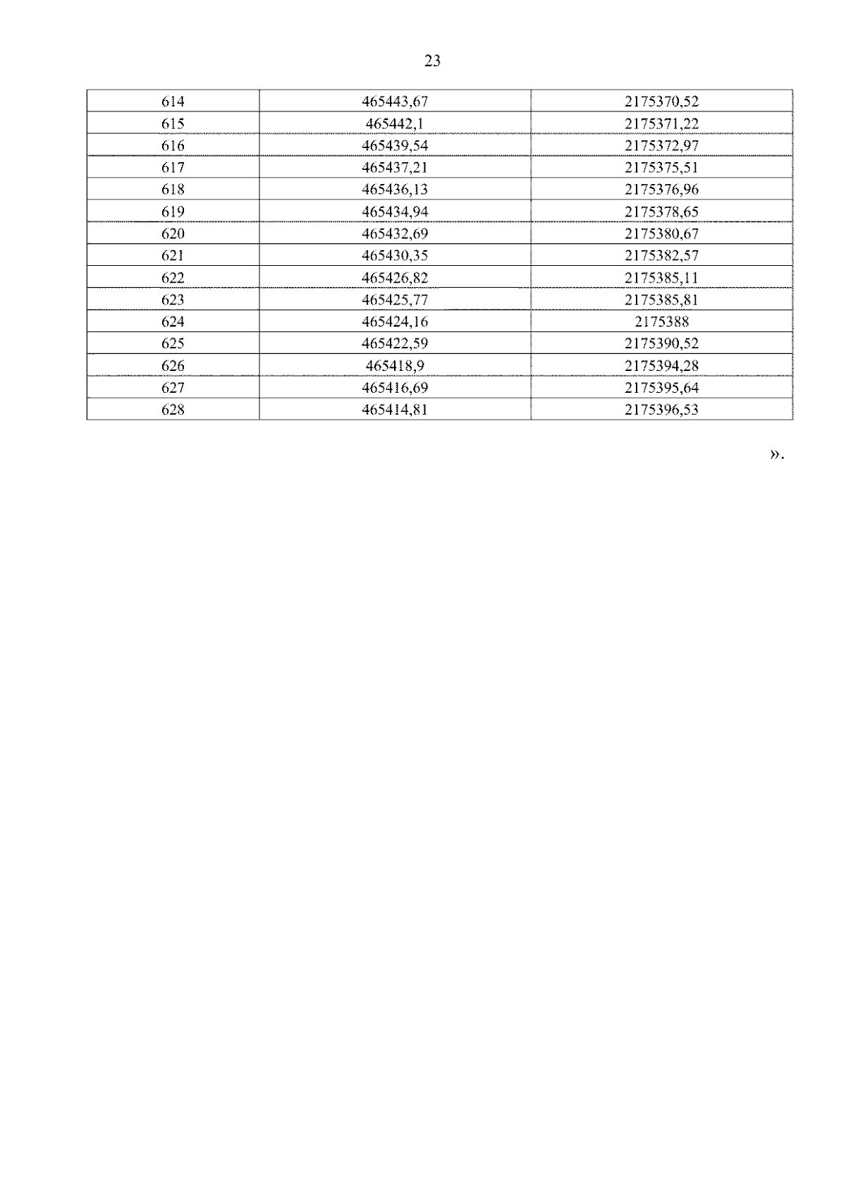
"О внесении изменений в распоряжение Министерства экологии и природопользования Московской области от 02.10.2024 № 1290-РМ "Об определении местоположения береговых линий (границ водного объекта), установлении границ водоохранной зоны, прибрежной защитной полосы ручья без названия в Одинцовском городском округе Московской области"
(Зарегистрирован 03.10.2025 № 15-978/2025)
Номер опубликования: 5001202510060003
Дата опубликования: 06.10.2025
Страница №26 из 26:
Увеличить