Официальное опубликование правовых актов
ОФИЦИАЛЬНОЕ ОПУБЛИКОВАНИЕ
Распоряжение Министерства экологии и природопользования Московской области от 10.09.2025 № 1089-РМ
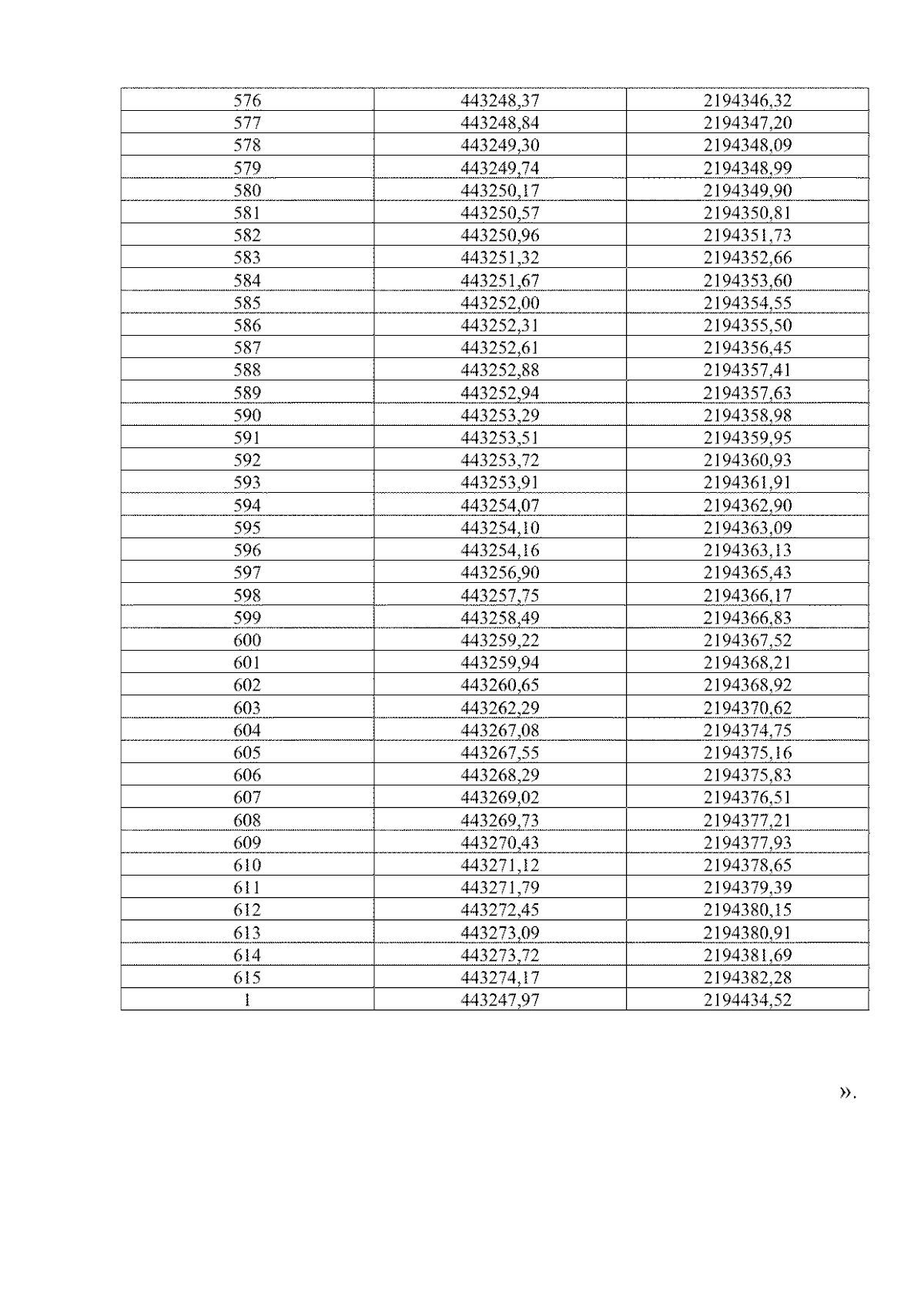
"Об определении местоположения береговых линий (границ водного объекта), установлении границ водоохранной зоны, прибрежной защитной полосы ручья без названия, притока ручья без названия в Ленинском городском округе Московской области"
(Зарегистрирован 10.09.2025 № 15-866/2025)
Номер опубликования: 5001202509190002
Дата опубликования: 19.09.2025
Страница №20 из 20:
Увеличить