Официальное опубликование правовых актов
ОФИЦИАЛЬНОЕ ОПУБЛИКОВАНИЕ
Распоряжение Главного управления культурного наследия Московской области от 22.04.2025 № 06РВ-233
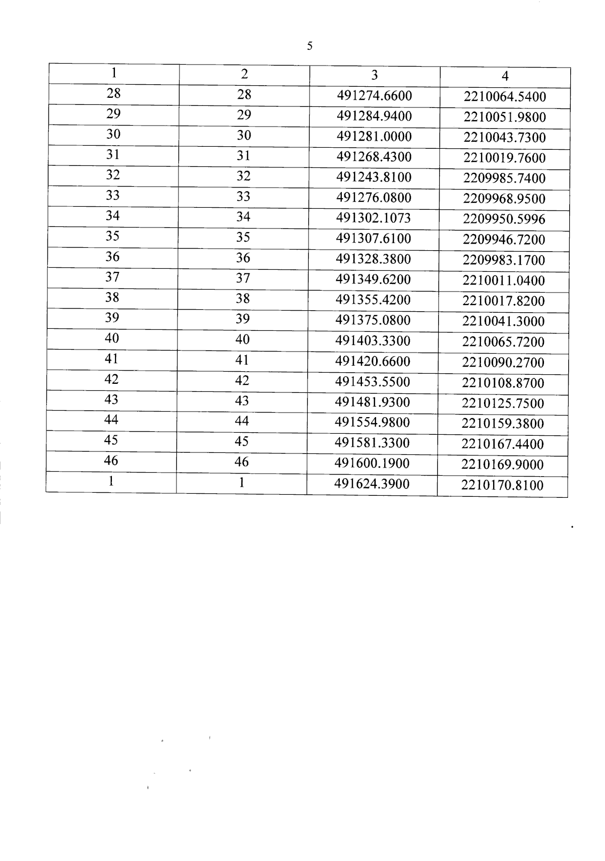
"Об утверждении границы территории и режима использования территории объекта культурного наследия регионального значения "Усадьба Станиславских "Любимовка", расположенного по адресу: Московская область, Городской округ Пушкинский, село Тарасовка"
(Зарегистрирован 22.04.2025 № 26-357/2025)
Номер опубликования: 5001202504220004
Дата опубликования: 22.04.2025
Страница №7 из 9:
Увеличить