Официальное опубликование правовых актов
ОФИЦИАЛЬНОЕ ОПУБЛИКОВАНИЕ
Распоряжение Министерства экологии и природопользования Московской области от 28.03.2025 № 359-РМ
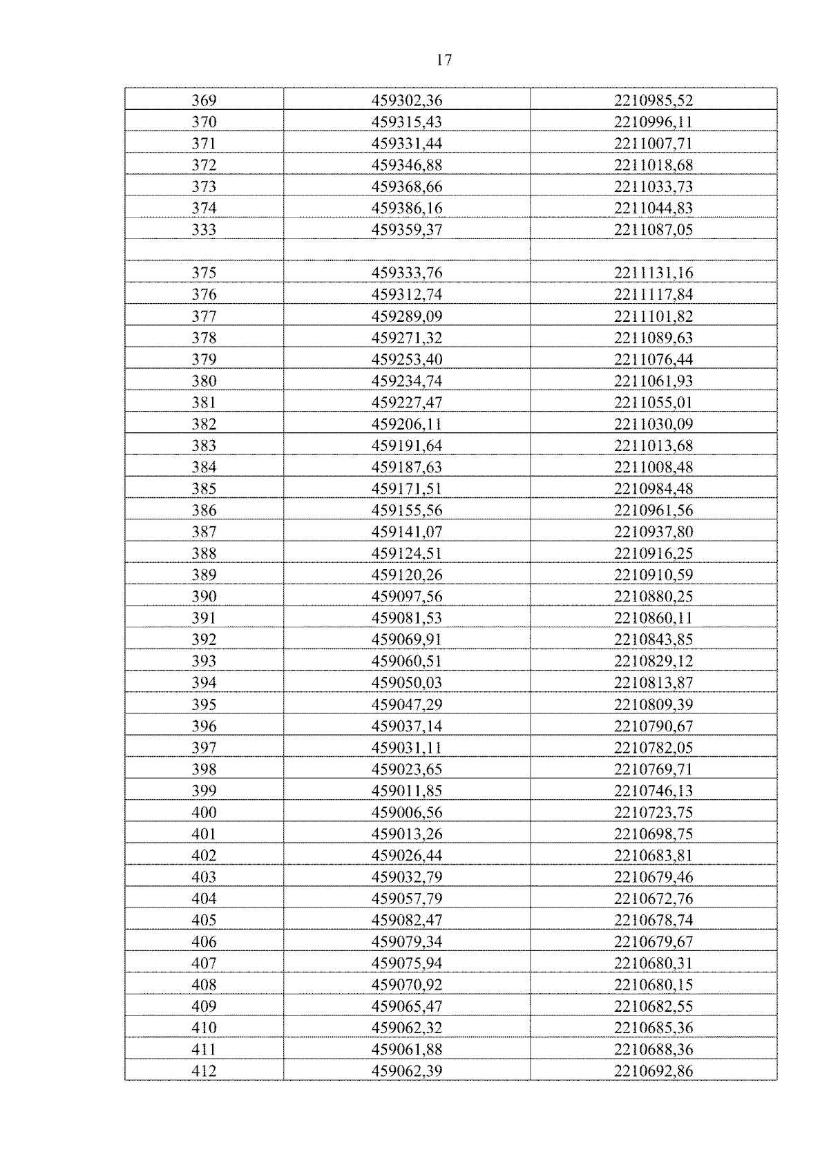
"О внесении изменений в распоряжение Министерства экологии и природопользования Московской области от 20.07.2023 № 1168-РМ "Об определении местоположения береговых линий (границ водного объекта), установлении границ водоохранной зоны, прибрежной защитной полосы реки Люберка в городском округе Котельники Московской области"
(Зарегистрирован 28.03.2025 № 15-273/2025)
Номер опубликования: 5001202503310007
Дата опубликования: 31.03.2025
Страница №20 из 21:
Увеличить