Официальное опубликование правовых актов
ОФИЦИАЛЬНОЕ ОПУБЛИКОВАНИЕ
Распоряжение Министерства экологии и природопользования Московской области от 06.12.2024 № 1616-РМ
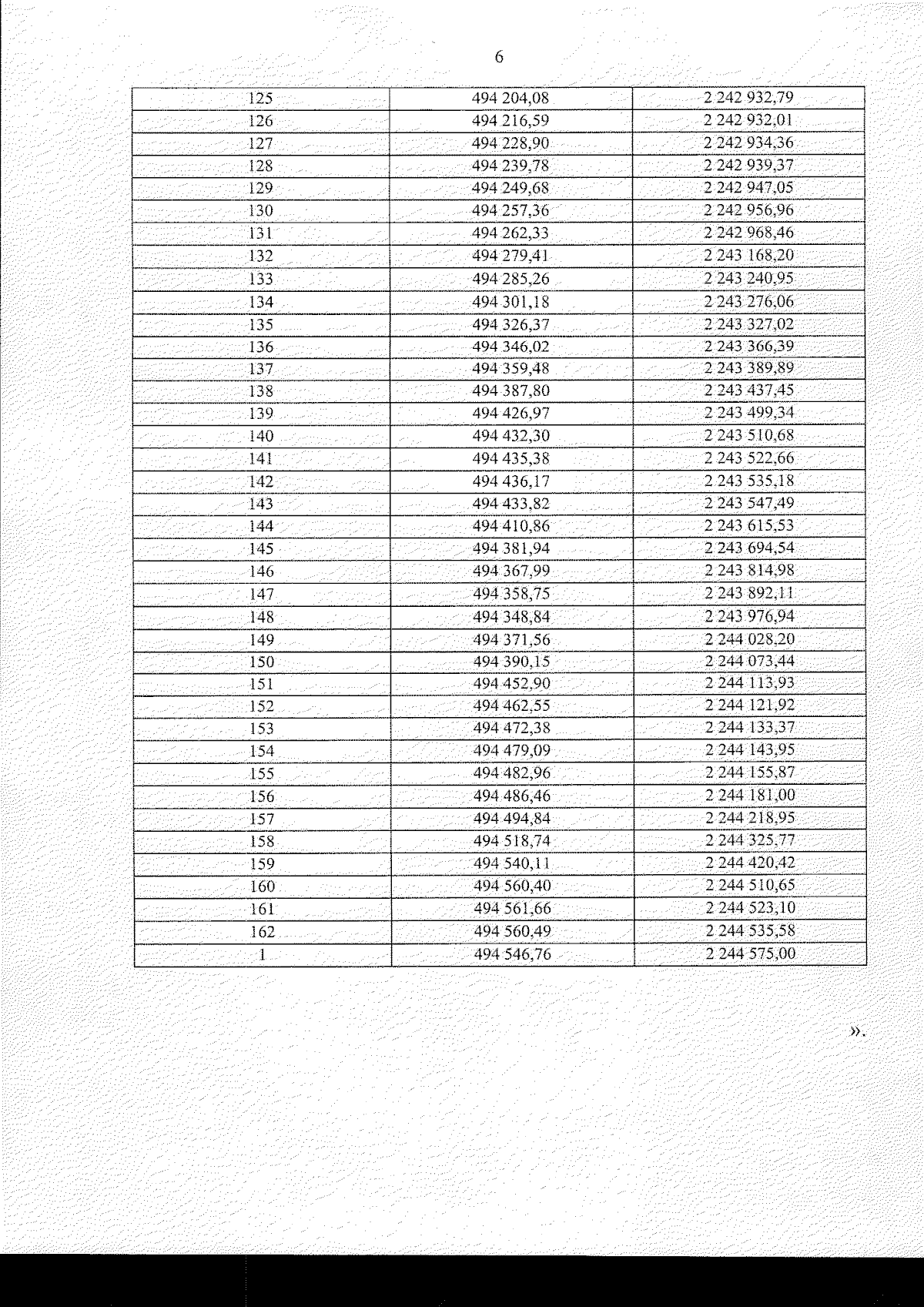
"Об определении местоположения береговых линий (границ водного объекта), установлении границ водоохранной зоны, прибрежной защитной полосы ручья без названия в Богородском городском округе, городском округе Черноголовка Московской области"
Номер опубликования: 5001202412110004
Дата опубликования: 11.12.2024
Страница №9 из 9:
Увеличить