Официальное опубликование правовых актов
ОФИЦИАЛЬНОЕ ОПУБЛИКОВАНИЕ
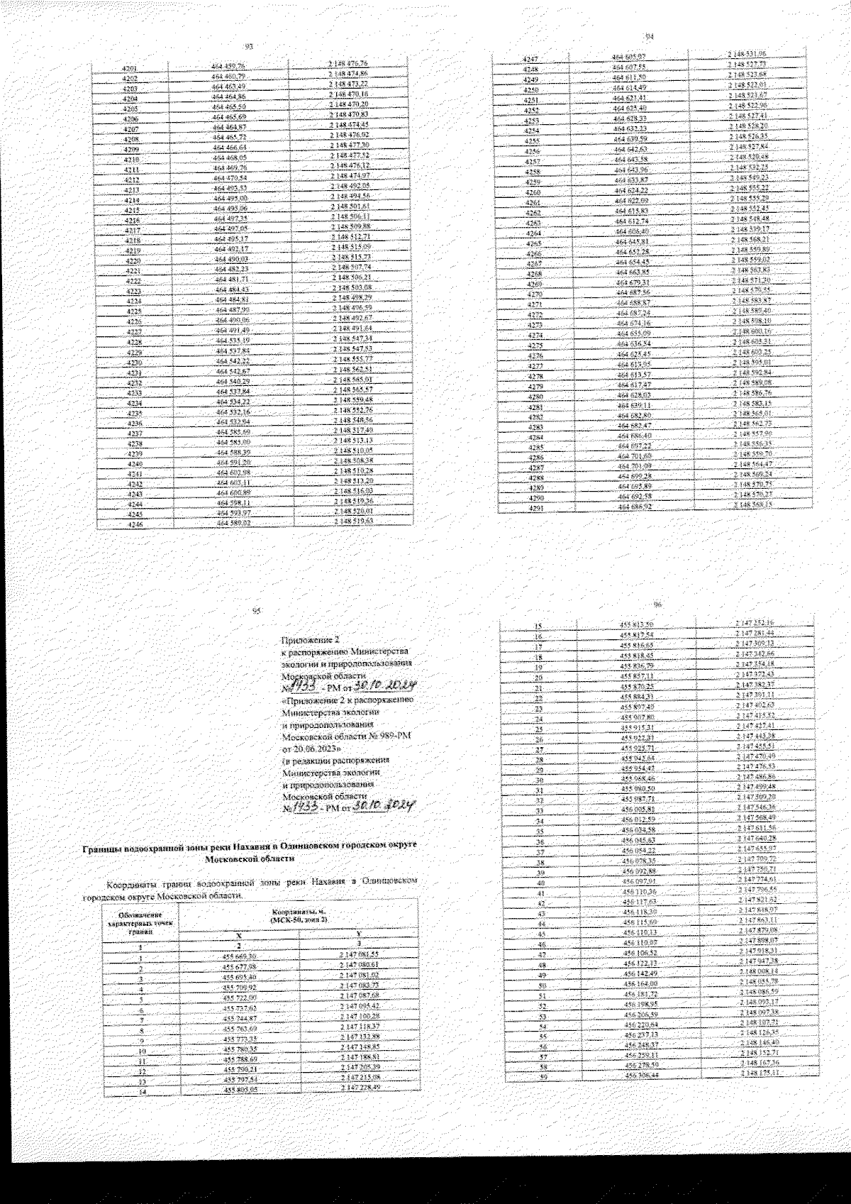
Распоряжение Министерства экологии и природопользования Московской области от 30.10.2024 № 1433-РМ
"О внесении изменений в Приложения к распоряжению Министерства экологии и природопользования Московской области от 20.06.2023 № 989-РМ "Об определении местоположения береговых линий (границ водного объекта), установлении границ водоохранной зоны, прибрежной защитной полосы реки Нахавня в Одинцовском городском округе Московской области"
Номер опубликования: 5001202411060006
Дата опубликования: 06.11.2024
Страница №27 из 43:
Увеличить