Официальное опубликование правовых актов
ОФИЦИАЛЬНОЕ ОПУБЛИКОВАНИЕ
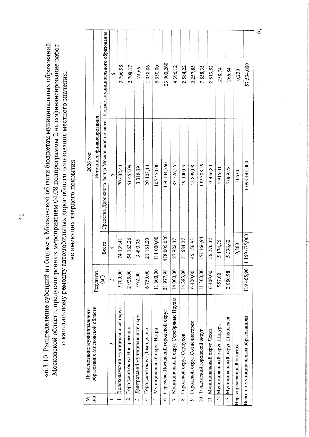
Постановление Правительства Московской области от 14.01.2026 № 3-ПП
"О внесении изменений в государственную программу Московской области "Развитие и функционирование дорожно-транспортного комплекса" на 2023-2029 годы"
Номер опубликования: 5000202601150002
Дата опубликования: 15.01.2026
Страница №44 из 142:
Увеличить