Официальное опубликование правовых актов
ОФИЦИАЛЬНОЕ ОПУБЛИКОВАНИЕ
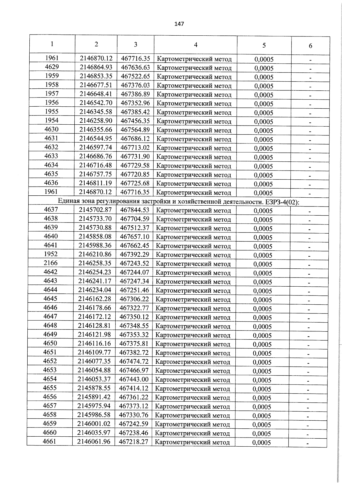
Постановление Правительства Московской области от 16.12.2025 № 1703-ПП
"Об установлении объединенной зоны охраны объектов культурного наследия, расположенных в городе Звенигороде Одинцовского городского округа Московской области, и утверждении требований к градостроительным регламентам в границах территории данной зоны"
Номер опубликования: 5000202512170001
Дата опубликования: 17.12.2025
Страница №386 из 491:
Увеличить