Официальное опубликование правовых актов
ОФИЦИАЛЬНОЕ ОПУБЛИКОВАНИЕ
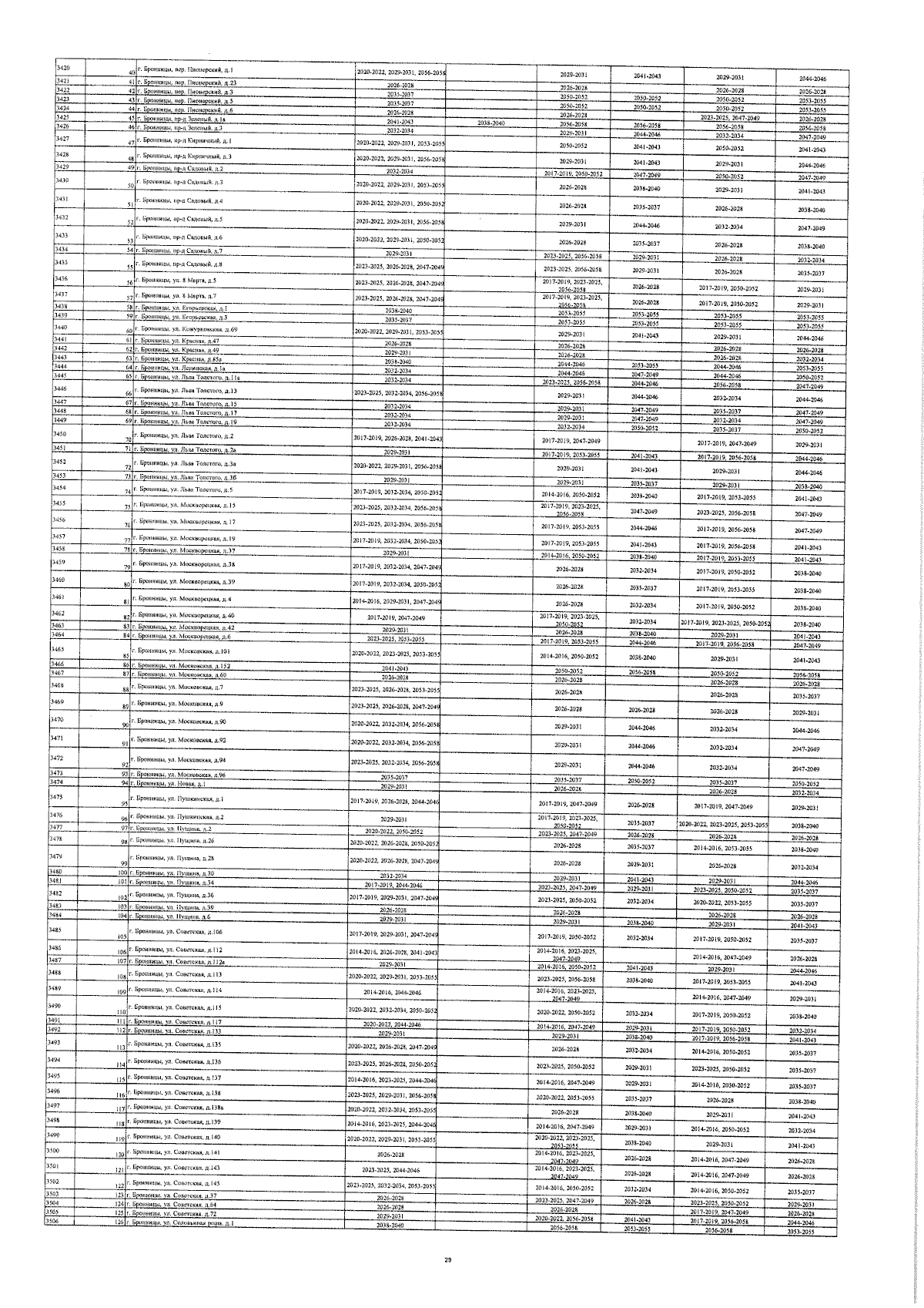
Постановление Правительства Московской области от 01.12.2025 № 1594-ПП
"О внесении изменения в региональную программу Московской области "Проведение капитального ремонта общего имущества в многоквартирных домах, расположенных на территории Московской области, на 2014-2058 годы"
Номер опубликования: 5000202512020004
Дата опубликования: 02.12.2025
Страница №31 из 366:
Увеличить