Официальное опубликование правовых актов
ОФИЦИАЛЬНОЕ ОПУБЛИКОВАНИЕ
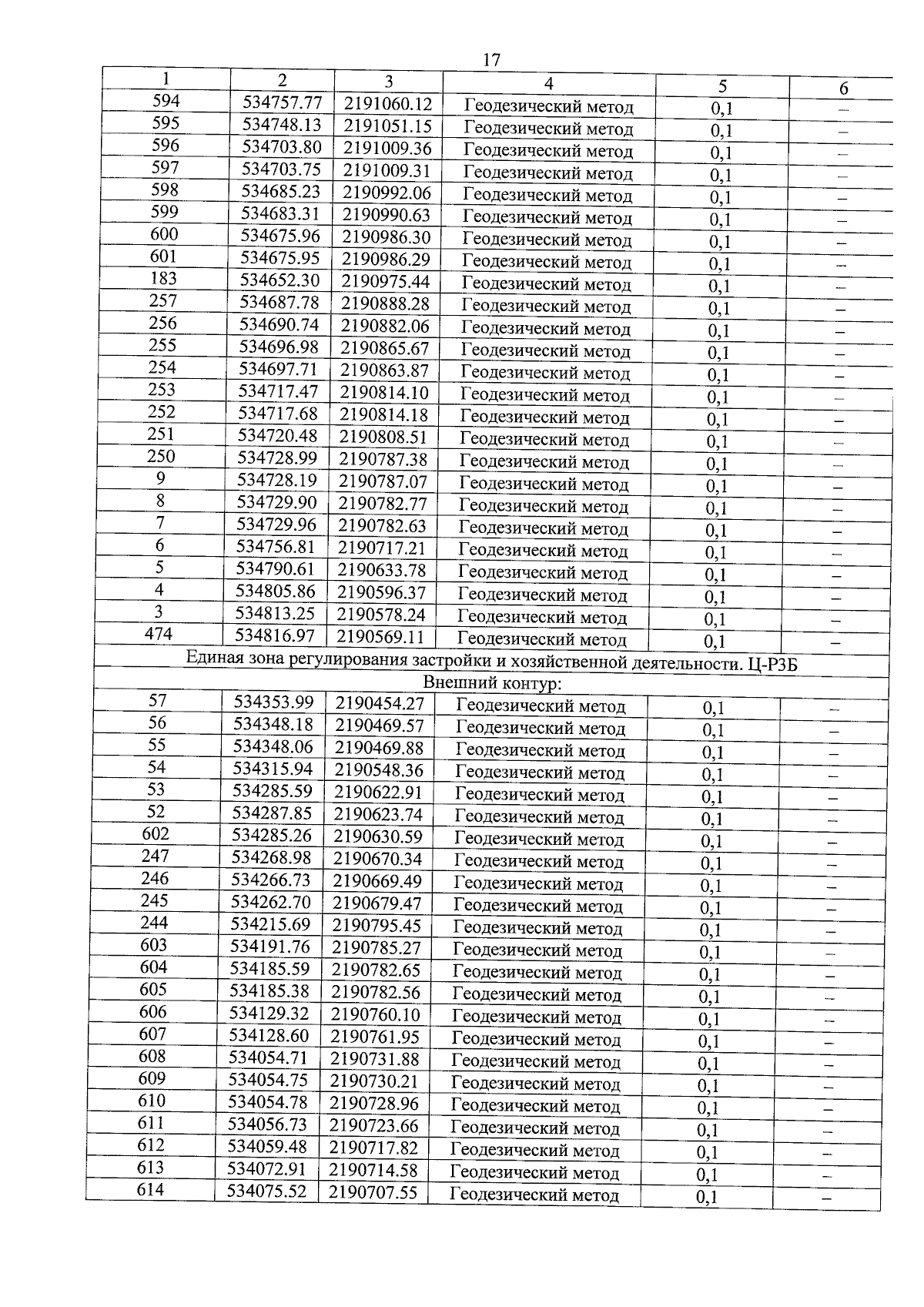
Постановление Правительства Московской области от 17.09.2025 № 1198-ПП
"Об установлении объединенной зоны охраны объектов культурного наследия федерального значения: "Ансамбль присутственных мест, XIX в.", "Успенский собор, 1533 г.", "Дом Новоселовых (деревянный), 1842 г.", "Дом Клятовых (деревянный), 1822 г.", "Дом Кропоткина Петра Алексеевича, в котором он жил в 1916-1921 гг.", "Земляные валы, XVI в." и регионального значения: "Братская могила красногвардейцев, погибших в 1918 г. при подавлении контрреволюционного мятежа в с. Рогачево", "Дом Милютиной, кон.XIX-нач.XX вв.", "Прогимназия женская, 1876 г., 1914-1915 гг.", "Здание дворянского собрания, вт. пол. XIX - нач. XX вв.", "Дом Возничихиных, перв. четв. XIX в.", "Дом Суходаева, 1880-1890-е гг.", "Церковь Спаса Всемилостивого, 1764-1773 гг.", "Часовня благоверного князя Александра Невского, 1867 г.", расположенных в центральной исторической части города Дмитров Дмитровского муниципального округа Московской области и на территории Дмитровского кремля, и об утверждении требований к градостроительным регламентам в границах территории данной зоны"
Номер опубликования: 5000202509180010
Дата опубликования: 18.09.2025
Страница №73 из 92:
Увеличить