Официальное опубликование правовых актов
ОФИЦИАЛЬНОЕ ОПУБЛИКОВАНИЕ
Постановление Правительства Московской области от 31.03.2025 № 312-ПП
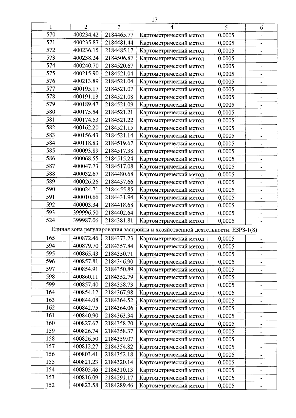
"Об установлении объединенной зоны охраны объекта культурного наследия федерального значения "Усадьба "Лопасня" (Зачатьевское-Гончаровых) XVII—XVIII вв.: церковь Зачатия Анны, 1689 г., 1820 г., парк с прудами, XVIII в.", "Усадьба Гончаровых, XVIII-XIX вв.: Главный дом, Служебный корпус", расположенного по адресу: Московская область, муниципальный округ Чехов, город Чехов, улица Пушкина, объекта культурного наследия регионального значения "Здание конюшен, сер.XVIII-XIX вв.", расположенного по адресу: Московская область, муниципальный округ Чехов, город Чехов, улица Пушкина, и объекта культурного наследия регионального значения "Здание, в котором в 1905-1907 гг. проходили митинги рабочих Лопасни", расположенного по адресу: Московская область, муниципальный округ Чехов, город Чехов, улица Московская, дом 40, и об утверждении требований к градостроительным регламентам в границах территории данной зоны"
Номер опубликования: 5000202503310010
Дата опубликования: 31.03.2025
Страница №74 из 108:
Увеличить