Официальное опубликование правовых актов
ОФИЦИАЛЬНОЕ ОПУБЛИКОВАНИЕ
Постановление Правительства Московской области от 28.03.2025 № 308-ПП
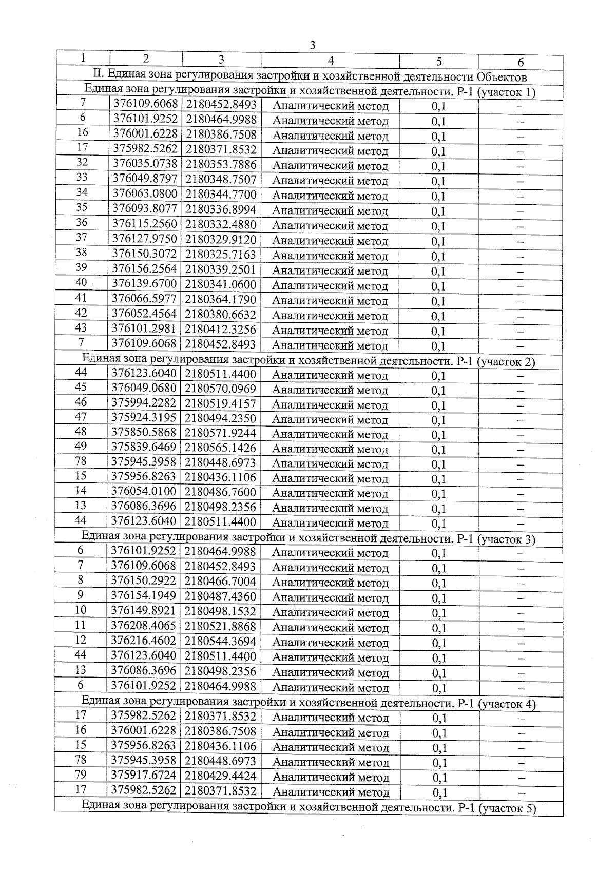
"Об установлении объединенной зоны охраны объекта культурного наследия регионального значения "Церковь Казанской иконы Божией Матери, сер. XVIII в.", расположенного по адресу: Московская область, Городской округ Серпухов, город Серпухов, улица Верхние Гончары, дом 19, и объекта культурного наследия регионального значения "Здание дома руководителя серпуховских большевиков Кокушкина И.А., в котором в 1905-1908 гг. находилась явка большевиков, хранилось оружие и нелегальная литература", расположенного по адресу: Московская область, Городской округ Серпухов, город Серпухов, переулок Кокушкина, дом 4-а, и об утверждении требований к градостроительным регламентам в границах территории данной зоны"
Номер опубликования: 5000202503310001
Дата опубликования: 31.03.2025
Страница №14 из 20:
Увеличить