Официальное опубликование правовых актов
ОФИЦИАЛЬНОЕ ОПУБЛИКОВАНИЕ
Постановление Правительства Московской области от 14.03.2025 № 239-ПП
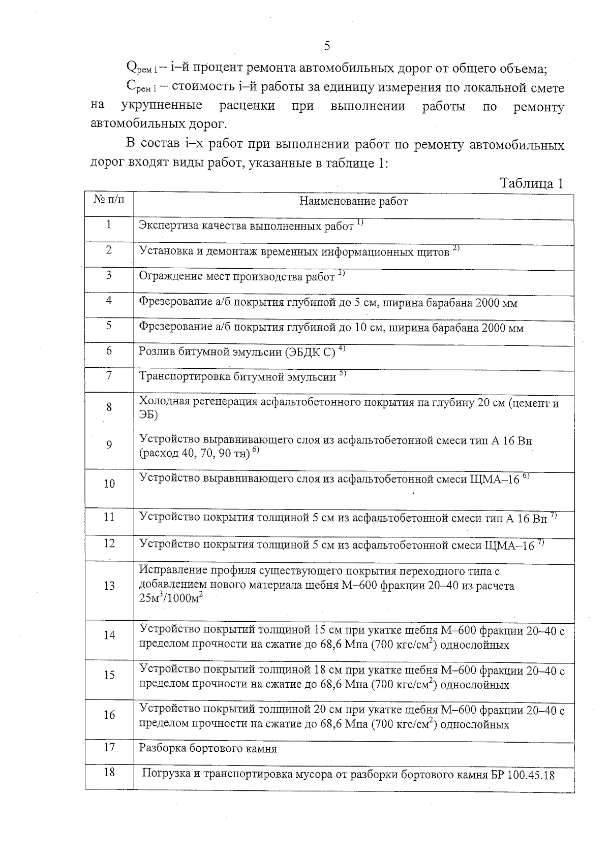
"О внесении изменений в постановление Правительства Московской области от 07.10.2024 № 1188-ПП "Об утверждении нормативов финансовых затрат на капитальный ремонт, ремонт и содержание автомобильных дорог регионального или межмуниципального значения Московской области на 2025 год и на плановый период 2026 и 2027 годов и правил расчета размера ассигнований бюджета Московской области на капитальный ремонт, ремонт и содержание автомобильных дорог регионального или межмуниципального значения Московской области на 2025 год и на плановый период 2026 и 2027 годов и признании утратившим силу постановления Правительства Московской области от 27.12.2023 № 1326-ПП "Об утверждении нормативов финансовых затрат на капитальный ремонт, ремонт и содержание автомобильных дорог регионального или межмуниципального значения Московской области на 2024 год и на плановый период 2025 и 2026 годов, правил расчета размера ассигнований бюджета Московской области на капитальный ремонт, ремонт и содержание автомобильных дорог регионального или межмуниципального значения Московской области на 2024 год и на плановый период 2025 и 2026 годов и о признании утратившими силу некоторых постановлений Правительства Московской области в сфере дорожного хозяйства"
Номер опубликования: 5000202503140006
Дата опубликования: 14.03.2025
Страница №7 из 13:
Увеличить