Официальное опубликование правовых актов
ОФИЦИАЛЬНОЕ ОПУБЛИКОВАНИЕ
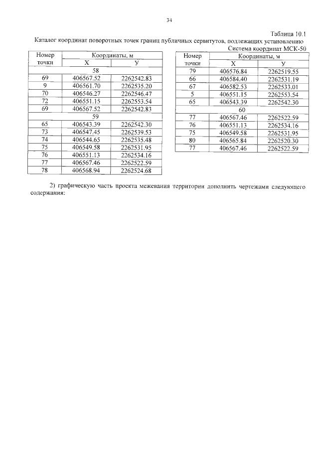
Постановление Правительства Московской области от 21.07.2022 № 748/24
"Об утверждении изменений в документацию по планировке территории для строительства автомобильной дороги "Обход с. Мячково по автомобильной дороге Коломна – Черкизово – Непецино – Шкинь" в Коломенском городском округе Московской области"
Номер опубликования: 5000202207290001
Дата опубликования: 29.07.2022
Страница №36 из 38:
Увеличить