Официальное опубликование правовых актов
ОФИЦИАЛЬНОЕ ОПУБЛИКОВАНИЕ
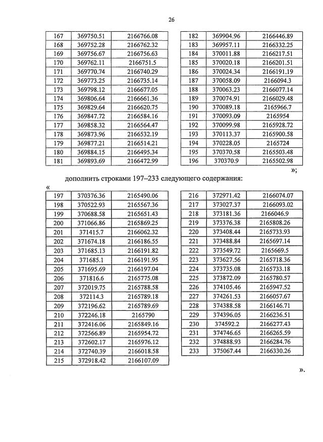
Закон Московской области от 06.07.2022 № 120/2022-ОЗ
"О внесении изменений в некоторые законы Московской области о статусе и границах муниципальных образований Московской области"
Номер опубликования: 5000202207120009
Дата опубликования: 12.07.2022
Страница №26 из 33:
Увеличить