Официальное опубликование правовых актов
ОФИЦИАЛЬНОЕ ОПУБЛИКОВАНИЕ
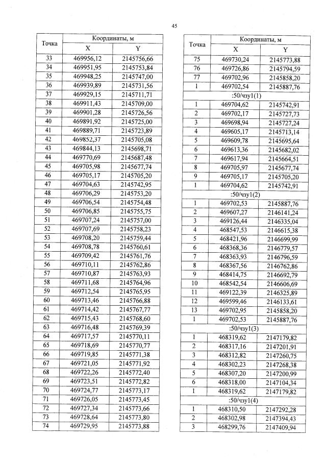
Постановление Правительства Московской области от 27.04.2022 № 440/15
"Об утверждении документации по планировке территории для размещения объекта: "Строительство заходов КВЛ 110 кВ на ПС 110 кВ "Звенигород" (протяженность линии 7,4 км)", расположенного в Одинцовском городском округе Московской области"
Номер опубликования: 5000202204280001
Дата опубликования: 28.04.2022
Страница №47 из 69:
Увеличить