Официальное опубликование правовых актов
ОФИЦИАЛЬНОЕ ОПУБЛИКОВАНИЕ
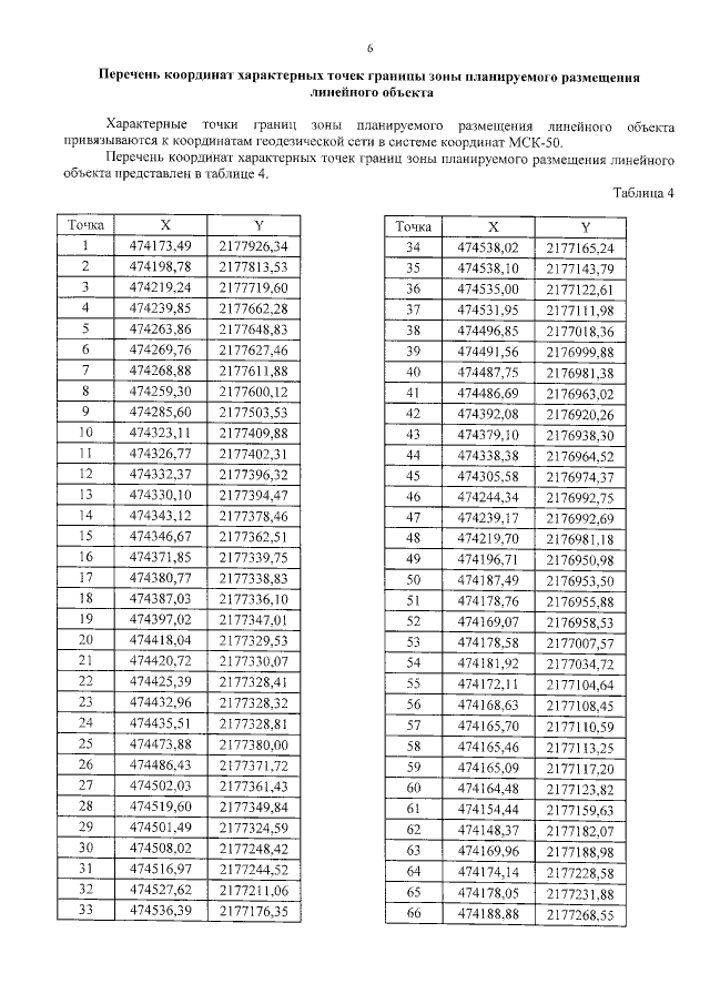
Постановление Правительства Московской области от 07.04.2022 № 336/12
"Об утверждении документации по планировке территории для реконструкции кольцевого пересечения автомобильной дороги М-9 "Балтия" и автомобильной дороги "Ильинское шоссе"
Номер опубликования: 5000202204150003
Дата опубликования: 15.04.2022
Страница №8 из 40:
Увеличить