Официальное опубликование правовых актов
ОФИЦИАЛЬНОЕ ОПУБЛИКОВАНИЕ
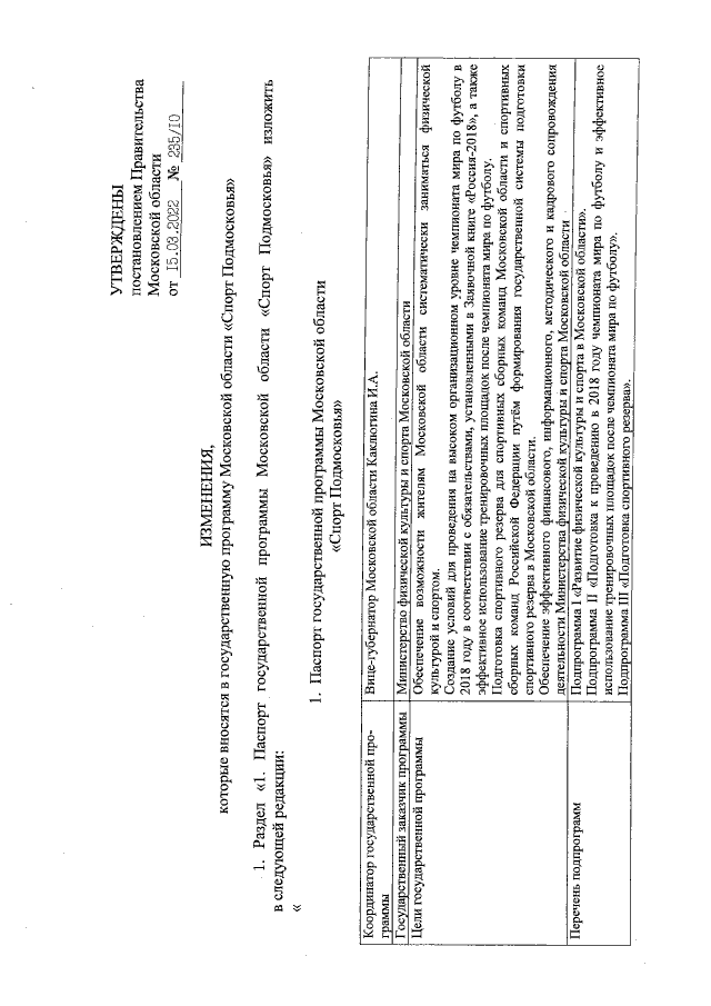
Постановление Правительства Московской области от 15.03.2022 № 235/10
"О распределении бюджетных ассигнований бюджета Московской области и внесении изменений в государственную программу Московской области "Спорт Подмосковья"
Номер опубликования: 5000202203210008
Дата опубликования: 21.03.2022
Страница №3 из 34:
Увеличить