Официальное опубликование правовых актов
ОФИЦИАЛЬНОЕ ОПУБЛИКОВАНИЕ
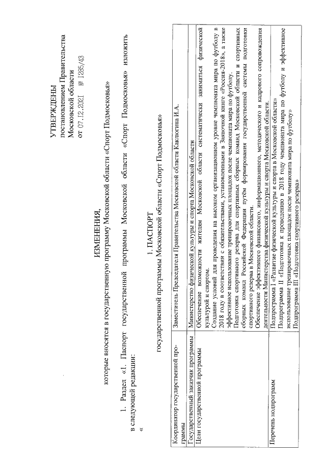
Постановление Правительства Московской области от 07.12.2021 № 1285/43
"О внесении изменений в государственную программу Московской области "Спорт Подмосковья"
Номер опубликования: 5000202112160007
Дата опубликования: 16.12.2021
Страница №2 из 6:
Увеличить