Официальное опубликование правовых актов
ОФИЦИАЛЬНОЕ ОПУБЛИКОВАНИЕ
Постановление Правительства Московской области от 02.12.2021 № 1260/41
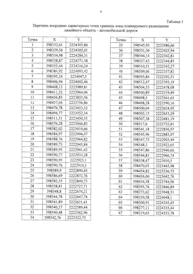
"Об утверждении документации по планировке территории для строительства подъездной автомобильной дороги к садоводческим некоммерческим объединениям: СНТ "Волна-1", СНТ "Энергетик", СНТ "Березы" между р.п. Михнево и селом Васильевское городского округа Ступино Московской области"
Номер опубликования: 5000202112080004
Дата опубликования: 08.12.2021
Страница №6 из 25:
Увеличить