Официальное опубликование правовых актов
ОФИЦИАЛЬНОЕ ОПУБЛИКОВАНИЕ
Постановление Правительства Московской области от 09.11.2021 № 1108/37
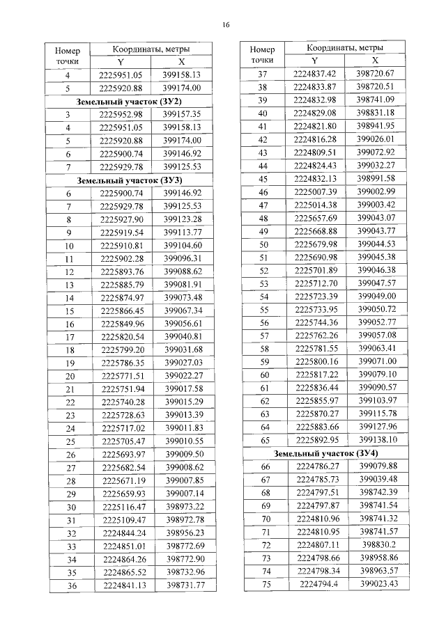
"Об утверждении документации по планировке территории для строительства подъездной автомобильной дороги к садоводческим некоммерческим объединениям: СНТ СН "Просторы", СНТ "Журавушка", СНТ "Родничок", СНТ "Рябинка", СНТ "Пчелка", СНТ "Мечта", СНТ "Радуга", СНТ "Кедр", СНТ "Ромашка", СНТ "Тители-6", СНТ "Лесная поляна-7", СНТ "Березки НТ", СНТ "Заря", СНТ "Луч", СНТ "Никольское", СНТ "Поляна-14", СНТ "Озерное" вблизи деревни Николо-Тители городского округа Ступино Московской области"
Номер опубликования: 5000202111100001
Дата опубликования: 10.11.2021
Страница №18 из 26:
Увеличить