Официальное опубликование правовых актов
ОФИЦИАЛЬНОЕ ОПУБЛИКОВАНИЕ
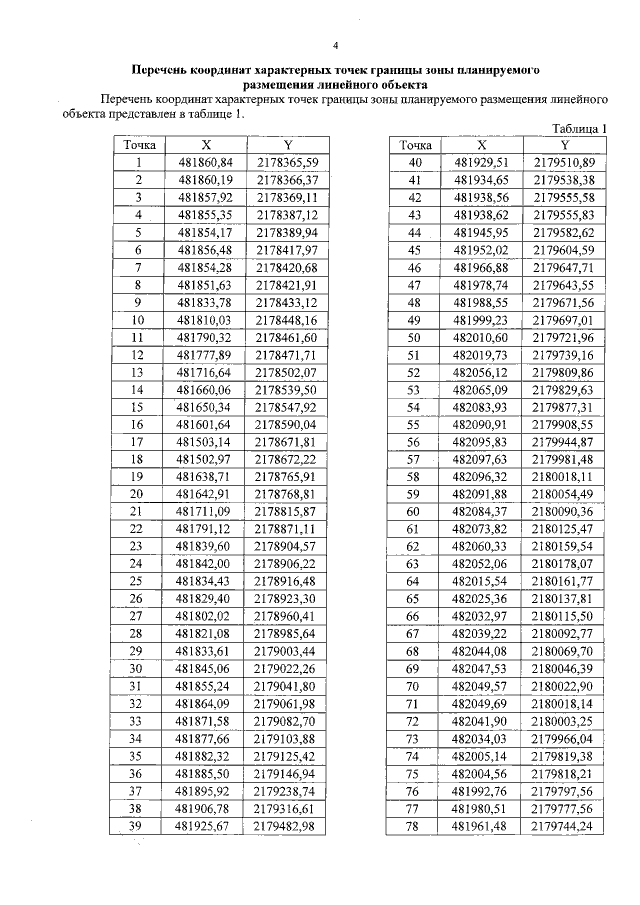
Постановление Правительства Московской области от 10.08.2021 № 660/25
"Об утверждении документации по планировке территории для строительства автомобильной дороги Путилково - Пятницкое шоссе в городском округе Красногорск Московской области"
Номер опубликования: 5000202108110004
Дата опубликования: 11.08.2021
Страница №6 из 73:
Увеличить