Официальное опубликование правовых актов
ОФИЦИАЛЬНОЕ ОПУБЛИКОВАНИЕ
Постановление Правительства Московской области от 07.07.2021 № 543/22
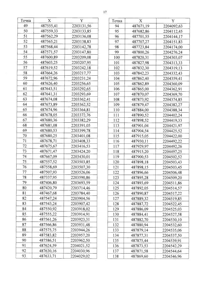
"Об утверждении документации по планировке территории для размещения линии рельсового скоростного пассажирского транспорта "Мытищи – Королёв – Ивантеевка – Щелково" на участке от улицы Колпакова до 2-ого Рупасовского переулка в городе Мытищи Московской области"
Номер опубликования: 5000202107070012
Дата опубликования: 07.07.2021
Страница №19 из 83:
Увеличить