Официальное опубликование правовых актов
ОФИЦИАЛЬНОЕ ОПУБЛИКОВАНИЕ
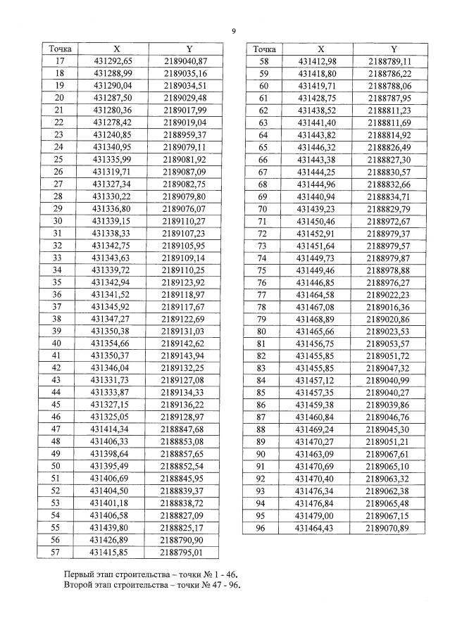
Постановление Правительства Московской области от 27.05.2021 № 410/15
"Об утверждении документации по планировке территории для строительства подъезда к федеральному детскому реабилитационному центру (ФДРЦ) от ул. Высотная в Городском округе Подольск Московской области"
Номер опубликования: 5000202106020004
Дата опубликования: 02.06.2021
Страница №11 из 44:
Увеличить