Официальное опубликование правовых актов
ОФИЦИАЛЬНОЕ ОПУБЛИКОВАНИЕ
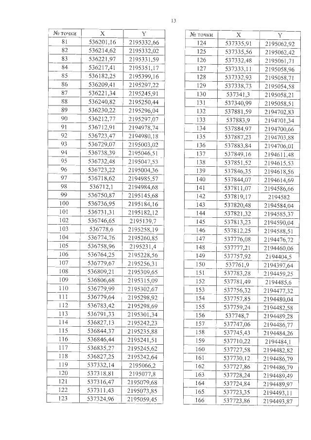
Постановление Правительства Московской области от 27.05.2021 № 411/15
"Об утверждении проекта планировки территории для строительства автомобильной дороги "Северо-восточный обход г. Дмитрова" в Дмитровском городском округе Московской области"
Номер опубликования: 5000202106010001
Дата опубликования: 01.06.2021
Страница №15 из 68:
Увеличить