Официальное опубликование правовых актов
ОФИЦИАЛЬНОЕ ОПУБЛИКОВАНИЕ
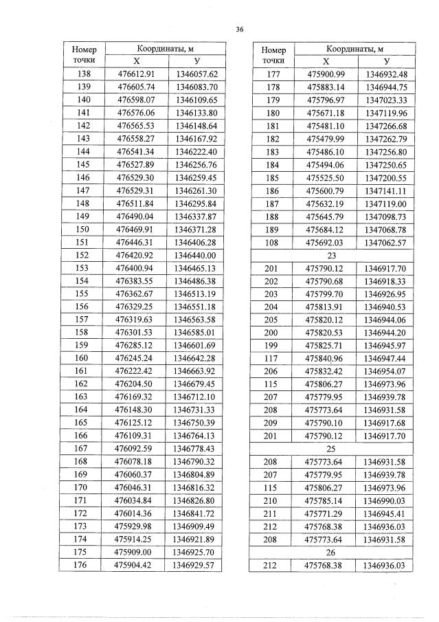
Постановление Правительства Московской области от 23.03.2021 № 199/8
"Об утверждении документации по планировке территории для строительства и реконструкции пересечения автомобильных дорог Аносино — Покровское и М-9 "Балтия" в городском округе Истра Московской области"
Номер опубликования: 5000202103230012
Дата опубликования: 23.03.2021
Страница №38 из 46:
Увеличить