Официальное опубликование правовых актов
ОФИЦИАЛЬНОЕ ОПУБЛИКОВАНИЕ
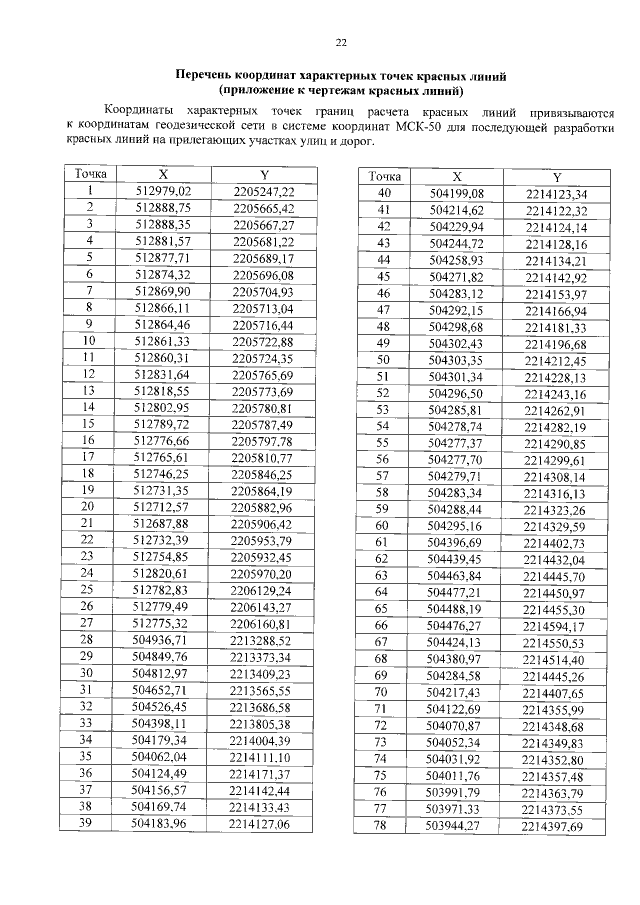
Постановление Правительства Московской области от 19.03.2021 № 184/7
"Об утверждении проекта планировки территории для строительства автомобильной дроги Ивантеевка — Правдинский в Городском округе Пушкинский Московской области"
Номер опубликования: 5000202103220001
Дата опубликования: 22.03.2021
Страница №24 из 80:
Увеличить