Официальное опубликование правовых актов
ОФИЦИАЛЬНОЕ ОПУБЛИКОВАНИЕ
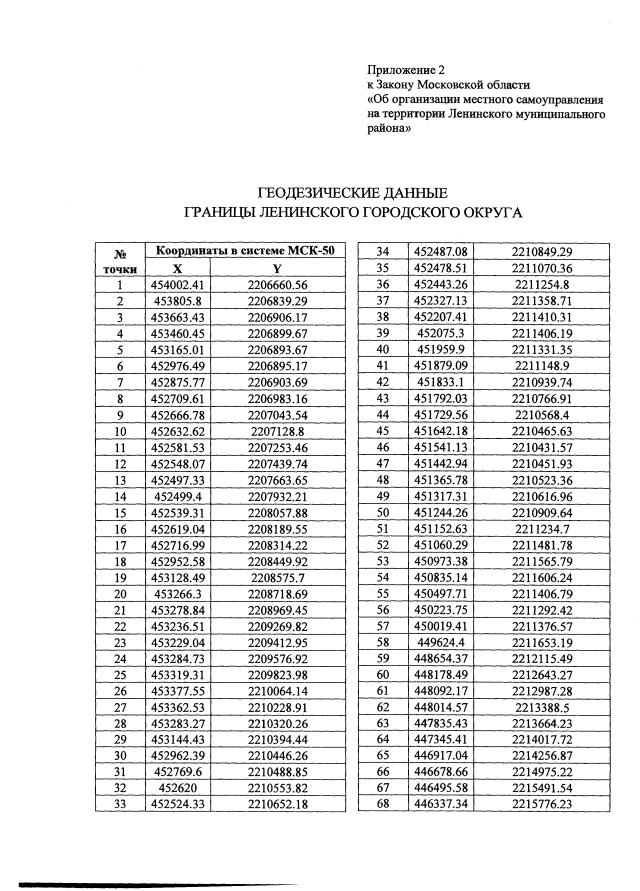
Закон Московской области от 19.07.2019 № 172/2019-ОЗ
"Об организации местного самоуправления на территории Ленинского муниципального района"
Номер опубликования: 5000201907260001
Дата опубликования: 26.07.2019
Страница №16 из 26:
Увеличить