Официальное опубликование правовых актов
ОФИЦИАЛЬНОЕ ОПУБЛИКОВАНИЕ
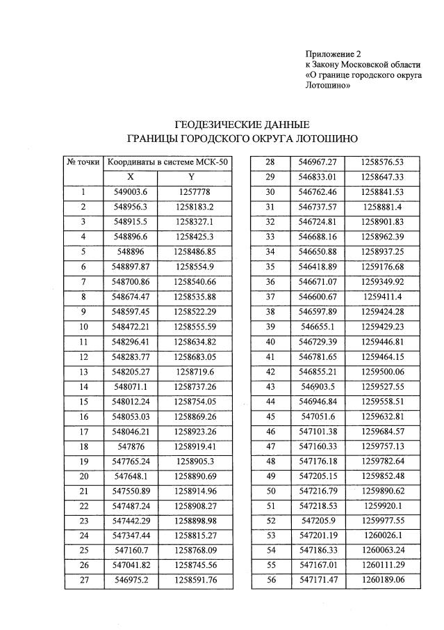
Закон Московской области от 09.07.2019 № 140/2019-ОЗ
"О границе городского округа Лотошино"
Номер опубликования: 5000201907120015
Дата опубликования: 12.07.2019
Страница №14 из 36:
Увеличить