Закон Московской области от 27.03.2019 № 38/2019-ОЗ
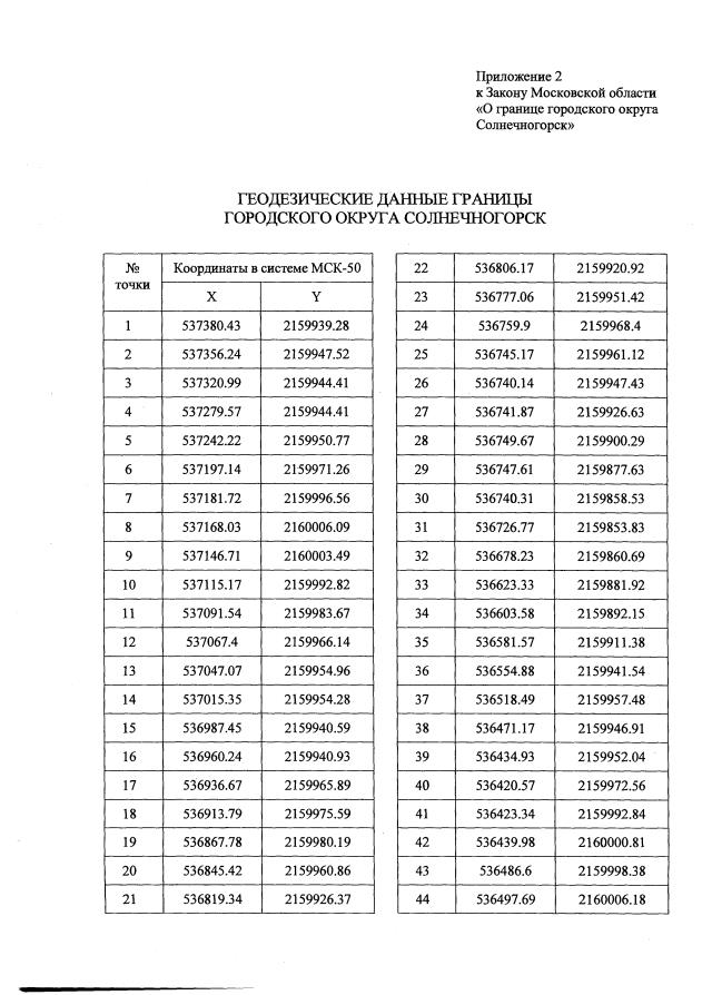
"О границе городского округа Солнечногорск"
"О границе городского округа Солнечногорск"
Номер опубликования: 5000201904010002
Дата опубликования:
01.04.2019
