Официальное опубликование правовых актов
ОФИЦИАЛЬНОЕ ОПУБЛИКОВАНИЕ
Постановление Правительства Московской области от 18.02.2019 № 67/3
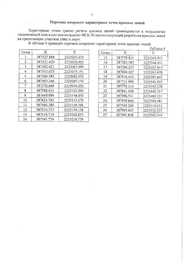
"Об утверждении документации по планировке территории для строительства участка автомобильной дороги регионального значения Колычево — Верзилово — Малино от улицы Шаховская до дома 12 по Преображенскому проспекту села Верзилово городского округа Ступино Московской области"
Номер опубликования: 5000201902190003
Дата опубликования: 19.02.2019
Страница №8 из 18:
Увеличить