Официальное опубликование правовых актов
ОФИЦИАЛЬНОЕ ОПУБЛИКОВАНИЕ
Приказ Департамента цен и тарифов Магаданской области от 29.12.2023 № 51-1/э
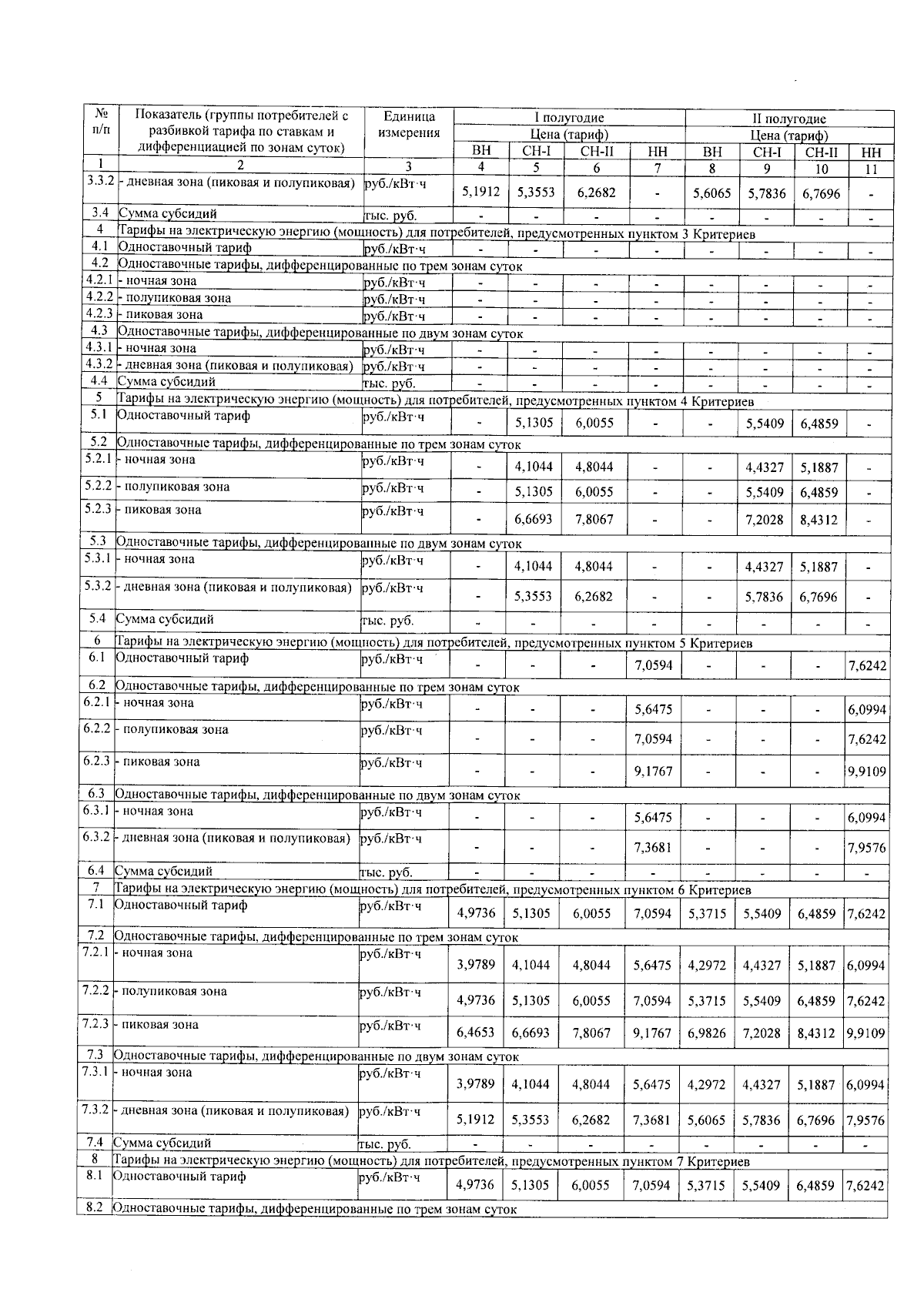
"Об установлении цен (тарифов) на электрическую энергию (мощность), поставляемую ПАО "Магаданэнерго" покупателям на розничном рынке, расположенном на территории Магаданской области, технологически не связанной с Единой энергетической системой России и технологически изолированными территориальными электроэнергетическими системами, за исключением населения и (или) приравненных к нему категорий потребителей, на 2024 год"
(Зарегистрирован 16.01.2024 № 28-гр)
Номер опубликования: 4901202401160008
Дата опубликования: 16.01.2024
Страница №4 из 5:
Увеличить