Официальное опубликование правовых актов
ОФИЦИАЛЬНОЕ ОПУБЛИКОВАНИЕ
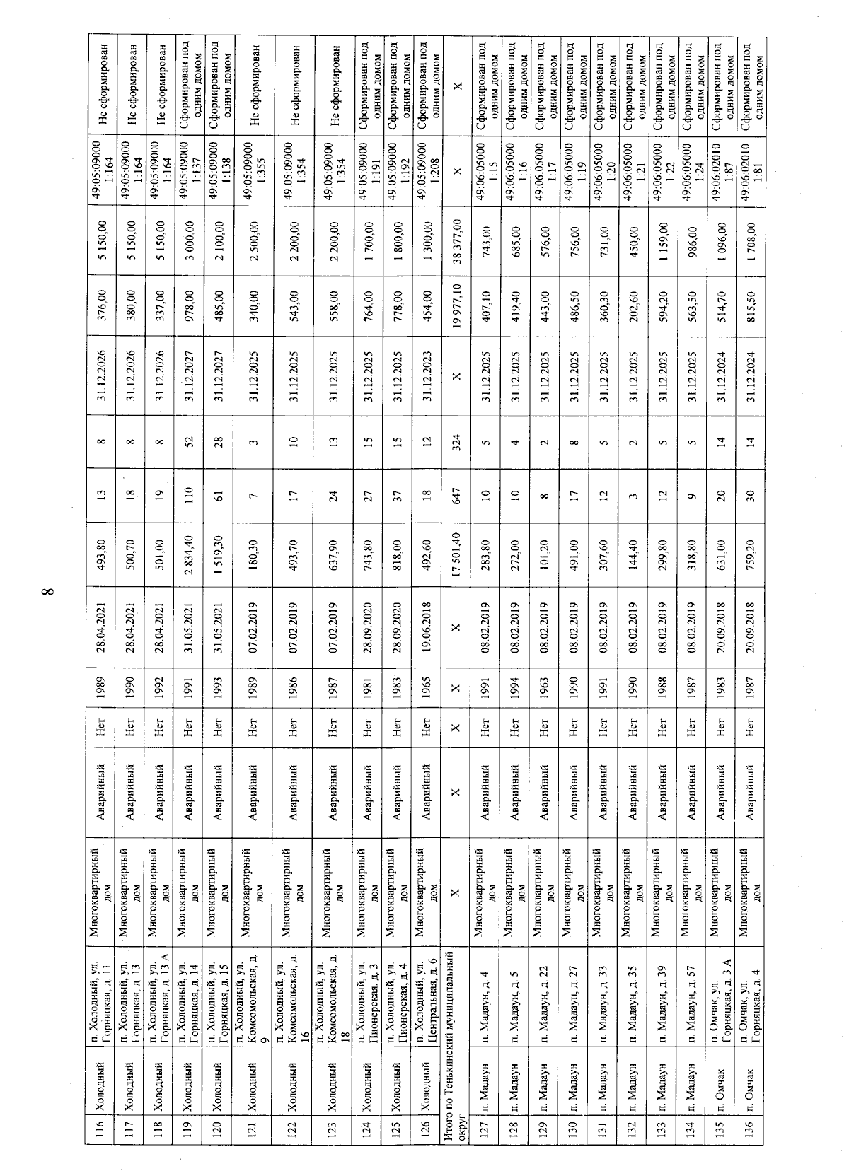
Постановление Правительства Магаданской области от 27.08.2025 № 430-пп
"О внесении изменений в постановление Правительства Магаданской области от 6 октября 2022 г. № 790-пп "Об утверждении государственной программы Магаданской области "Переселение в 2022-2027 годах граждан из аварийных многоквартирных домов, признанных таковыми в период с 1 января 2017 года по 1 января 2022 года"
Номер опубликования: 4900202508290002
Дата опубликования: 29.08.2025
Страница №24 из 43:
Увеличить