Официальное опубликование правовых актов
ОФИЦИАЛЬНОЕ ОПУБЛИКОВАНИЕ
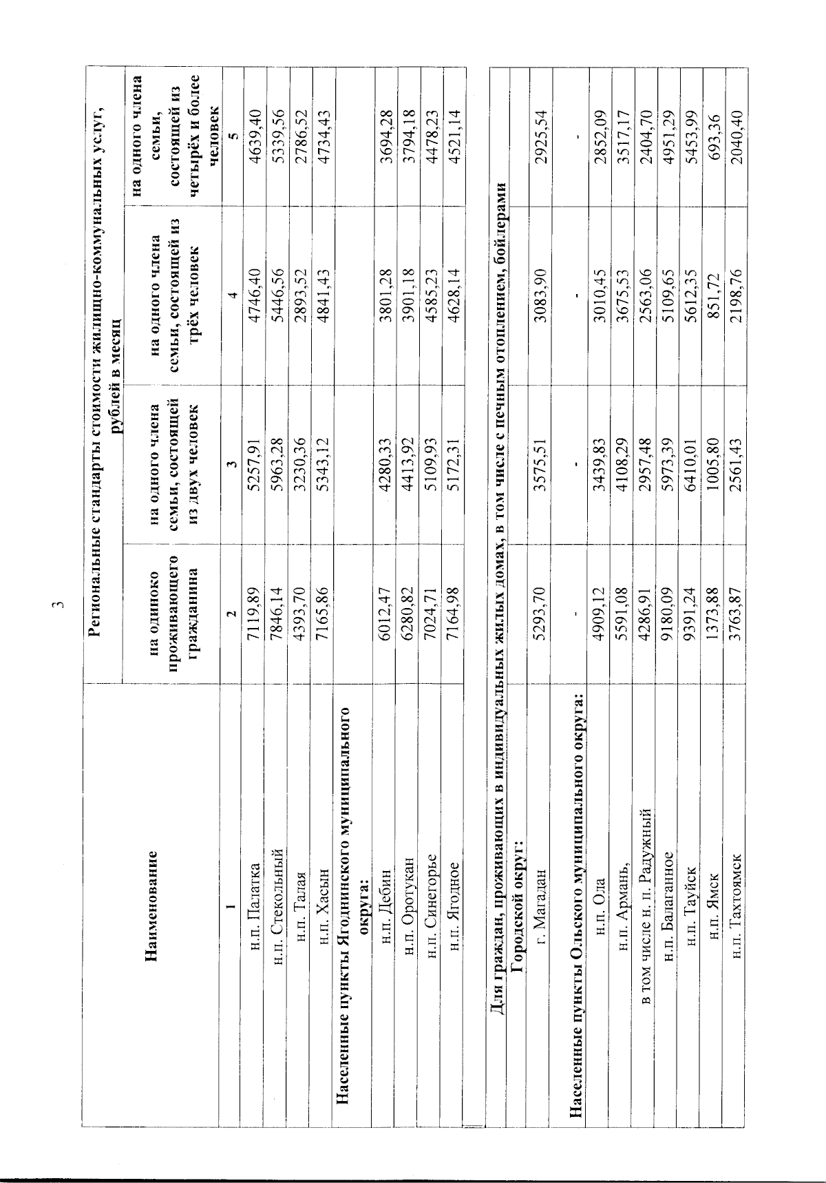
Постановление Правительства Магаданской области от 19.07.2024 № 363-пп
"О региональных стандартах стоимости жилищно-коммунальных услуг в 2024 году"
Номер опубликования: 4900202407240001
Дата опубликования: 24.07.2024
Страница №10 из 21:
Увеличить