Официальное опубликование правовых актов
ОФИЦИАЛЬНОЕ ОПУБЛИКОВАНИЕ
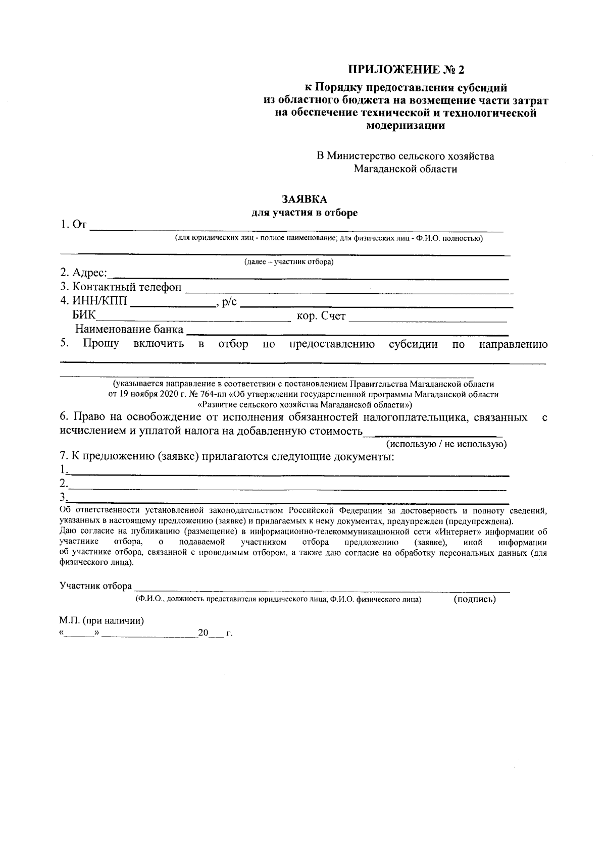
Постановление Правительства Магаданской области от 12.03.2024 № 126-пп
"Об утверждении Порядков предоставления субсидий из областного бюджета на финансовое обеспечение (возмещение) части затрат на обеспечение технической и технологической модернизации"
Номер опубликования: 4900202403120003
Дата опубликования: 12.03.2024
Страница №49 из 51:
Увеличить