Официальное опубликование правовых актов
ОФИЦИАЛЬНОЕ ОПУБЛИКОВАНИЕ
Постановление Правительства Магаданской области от 28.08.2023 № 573-пп
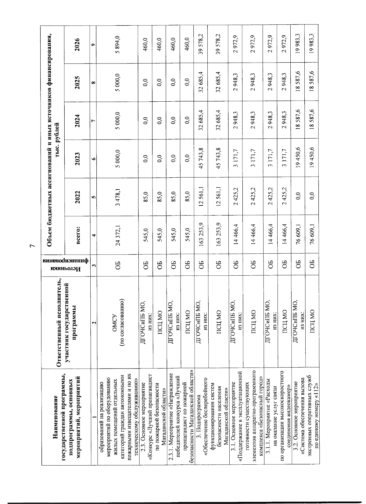
"О внесении изменений в постановление Правительства Магаданской области от 16 сентября 2021 г. № 699-пп "Об утверждении государственной программы Магаданской области "Защита населения и территории от чрезвычайных ситуаций и обеспечение пожарной безопасности в Магаданской области"
Номер опубликования: 4900202308280013
Дата опубликования: 28.08.2023
Страница №12 из 16:
Увеличить